
Make sure you understand the basic concepts and formulae before getting into the questions. If you have any concerns, leave a comment.
Single-loop circuits

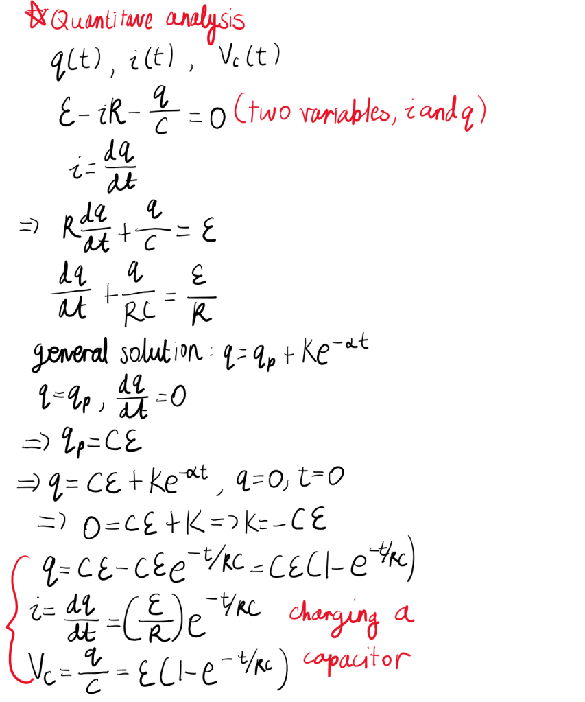
Kirchoff’s Loop Rules

Loop rule: the algebraic sum of the changes in potential encountered in a completed traversal of loop must be zero.
Resistance rules: for a move through a resistance in the direction of the current, the change in potential is -iR; in the opposite direction is +iR.
EMF rule: for a move through an EMF in the direction of the EMF arrow, i.e. from – to +, the change in potential is +E; in the opposite direction is -E.
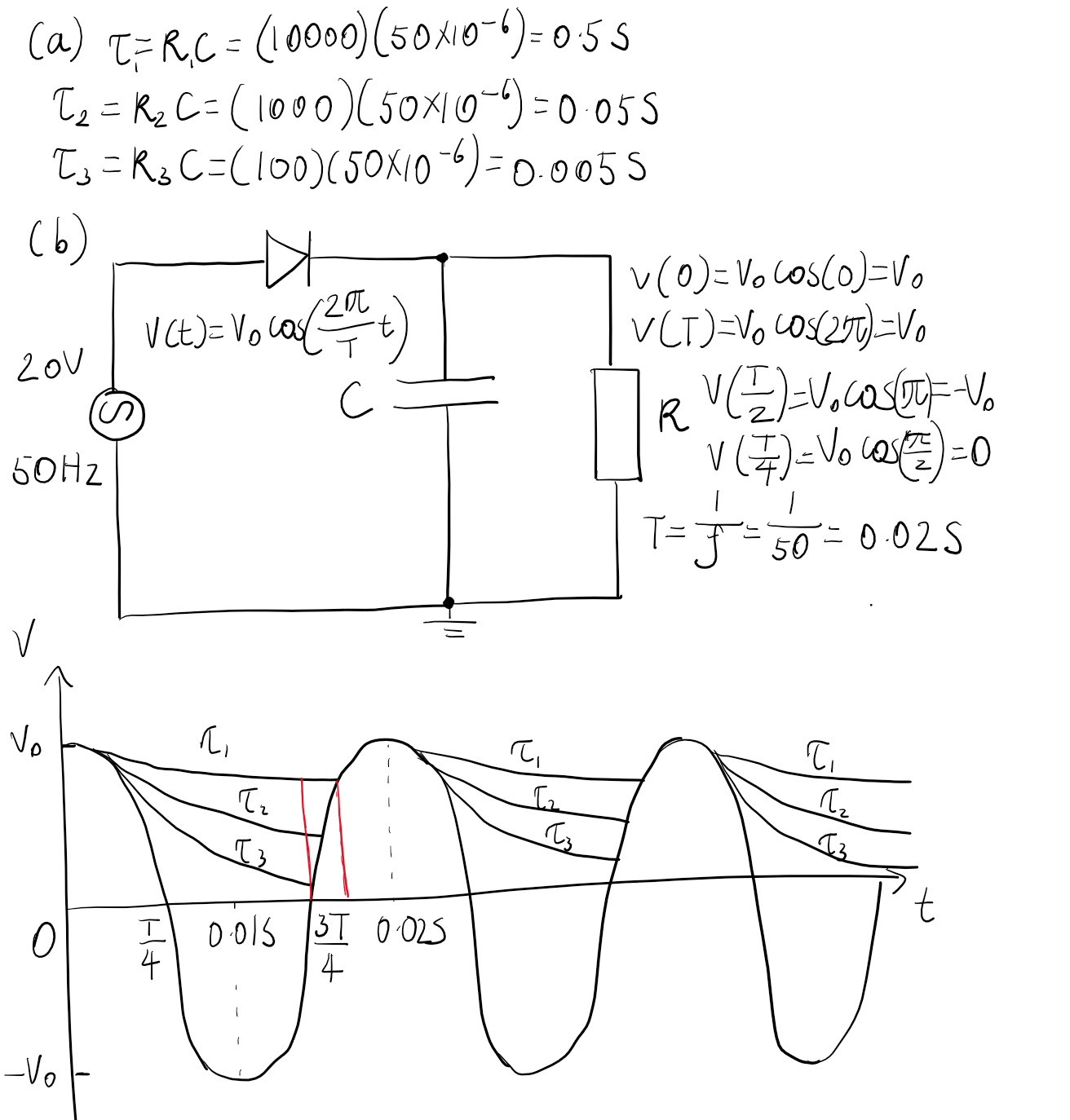
RC circuit

Charging a capacitor:



Discharging a capacitor:

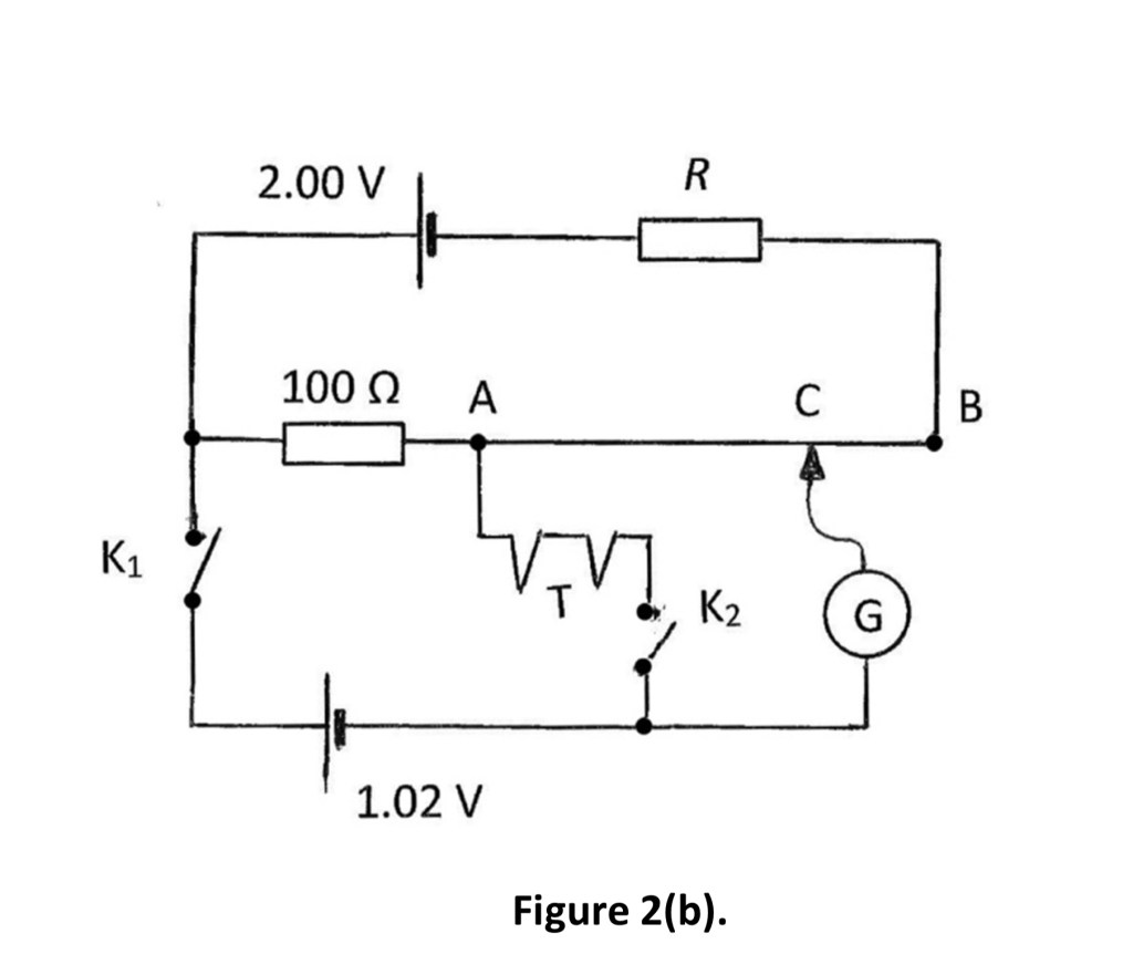
Instruments – potentiometer and Wheatstone bridge




Three easy non-BPhO circuits questions (w/ answers) to warm up…

Hint 12.4: what can be deduced about this Wheatstone bridge?

Hint 12.5: find the equivalent circuit…

Hint 12.8: when the bridge is obviously not balanced, we use…
I propose the following solutions:




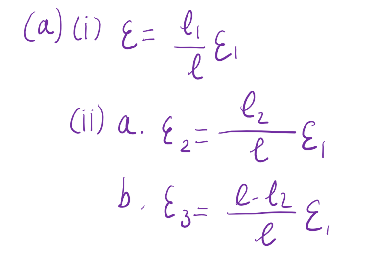
BPhO 2016 R1 Section 2 Q2
Do it under timed condition first. If you are stuck, look at the hints 😉

Hint Part (a): nice and easy, potential divider.

Hint Part (b): remember to analyze the circuit… which appliances divide which potential?


Hint Part (c): figure it out yourself, it’s not that difficult…
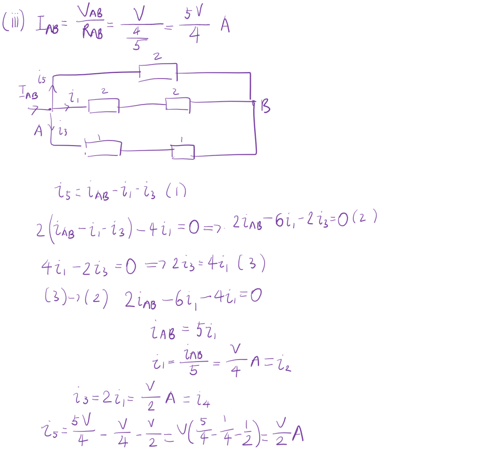
Hint Part (d): figure out the equivalent circuit. What do you discover?
My solutions are as follows.




BPhO 2012-13 R1 Section 2 Q2


My solutions:




BPhO 2015 R1 Section 2 Q4
This is yet another circuit question (w/ hints). Have a go at it and see how many marks you can grab.



BPhO 2014 R1 Section 2 Q2


My solution:




BPhO 2014 R1 Section 2 Q6


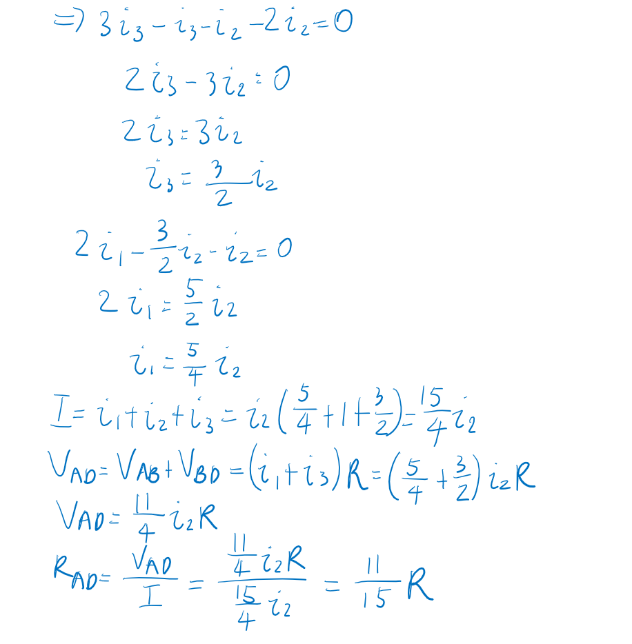
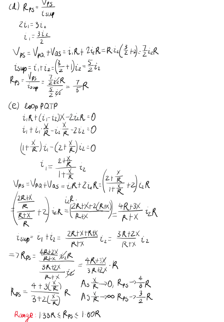
My solution:


BPhO 2011 R1 Section 2 Q2


My solutions:



BPhO 2013 R1 Section 2 Q1

My solutions:

