
This topic comes up a lot. Make sure you are familiar with the formulae for electrostatics, and possibly SHM and binomial approximation. All Non-BPhO questions come from 1000 Solved Problems in Classical Physics by Kamal. Any concerns, leave a comment.
Non-BPhO questions to warm up
These non-BPhO questions give you an insight into the type of electric field questions that can be asked in Section 2.

Hint 11.5: which quantities are conserved when the oil drops coalesce?

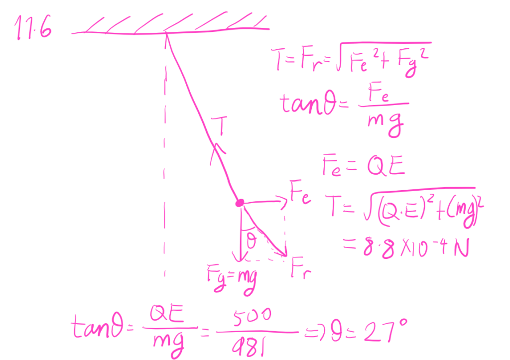
Hint 11.6: resolve forces or otherwise.

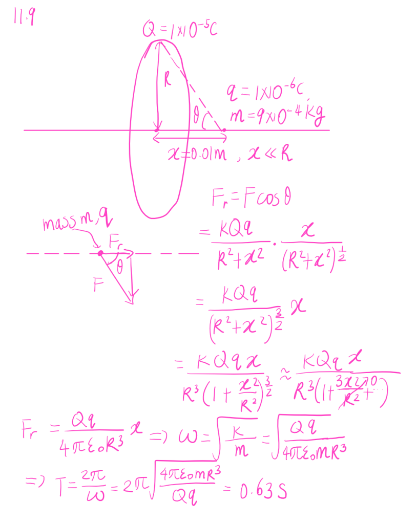
Hint 11.8: “infinite” probably indicates some sort of pattern.





My solutions are as follows:







BPhO 2016 R1 Section Q4

BPhO 2015 R1 Section 2 Q2

Hint Part (a): kinematics equations. Which quantity do you have to equate for x and y components of the motion?
Hint Part (b): which component of the velocity remains unchanged?

Hint Part (c): upon entering the final field, the z component of the velocity is zero, which means…
My solution is as follows:


BPhO 2011 R1 Section 2 Q9
