
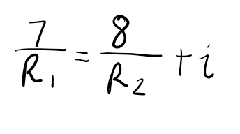
Q1 For the circuit shown, choose R1 and R2 so that the voltage is 10V when A takes zero current, but falls to 8V when i rises to 1mA.

Hint Q1: Kirchoff’s 1st Law
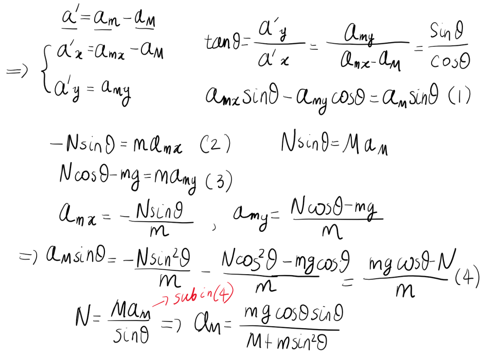
Q2 A smooth wedge of mass M and angle theta is placed on the horizontal ground, with a particle of mass m resting on its surface. Now, the system is released from rest. Find the acceleration of wedge M, with respect to the ground.
Hint Q2: the key is to realize that the reference frame for each acceleration is different. When the system is released, wedge M has an acceleration relative to the ground, whilst mass m has an acceleration along the slope relative to the wedge M and an acceleration relative to the ground. How are these three accelerations related to each other?
Q3 A car of mass M is resting on the horizontal ground. There are N people each of mass m in the car. Each person jumps off the back of the car with velocity u (with respect to the velocity of the car after the person jumps off). Determine: in which of the following situation does the car gain the most kinetic energy. A) N people jump off at the same time. B) N people jump off one at a time.
Hint Q3: use conservation of linear momentum. You should spot a pattern for velocity in part B).
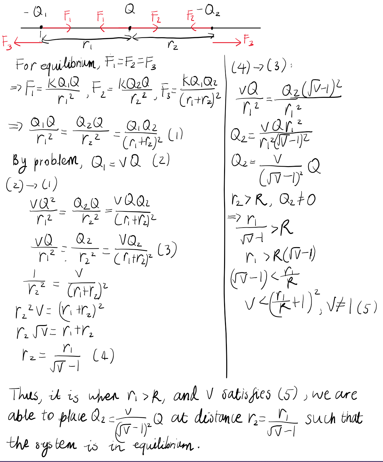
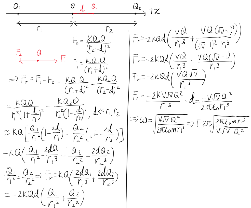
Q4 A thin circular wire, radius R, has a charge Q uniformly distributed around it. A) if a point charge -Q1 performs uniform linear motion along the diameter AOB, find the charge density, lambda, of the wire. B) take AOB as the x-axis, with the origin at O. Place the point charge -Q1 on the left hand side of the x-axis, at a distance r1. Given that Q1=vQ, where v is a constant. Can we place a point charge -Q2 on the right hand side of the x-axis so that the charges and the circular wire are in equilibrium i.e. do not move? Find Q2 and it’s position. C) in the arrangement in part B), reverse the sign of the charges without changing their magnitudes. Now, displace the circular wire a small distance d along the +x direction and release it. Show that it performs SHM and find its period. Ignore other forces – consider Coulomb force only.
Hint Q4: I’m still trying to figure out part (A)… For part (B), it is a situation in which three charges on the x-axis are in equilibrium. Equate forces, you will find some relationships. Part (C) find the differential equation —> omega —> T. Use binomial approximation.
Answers






