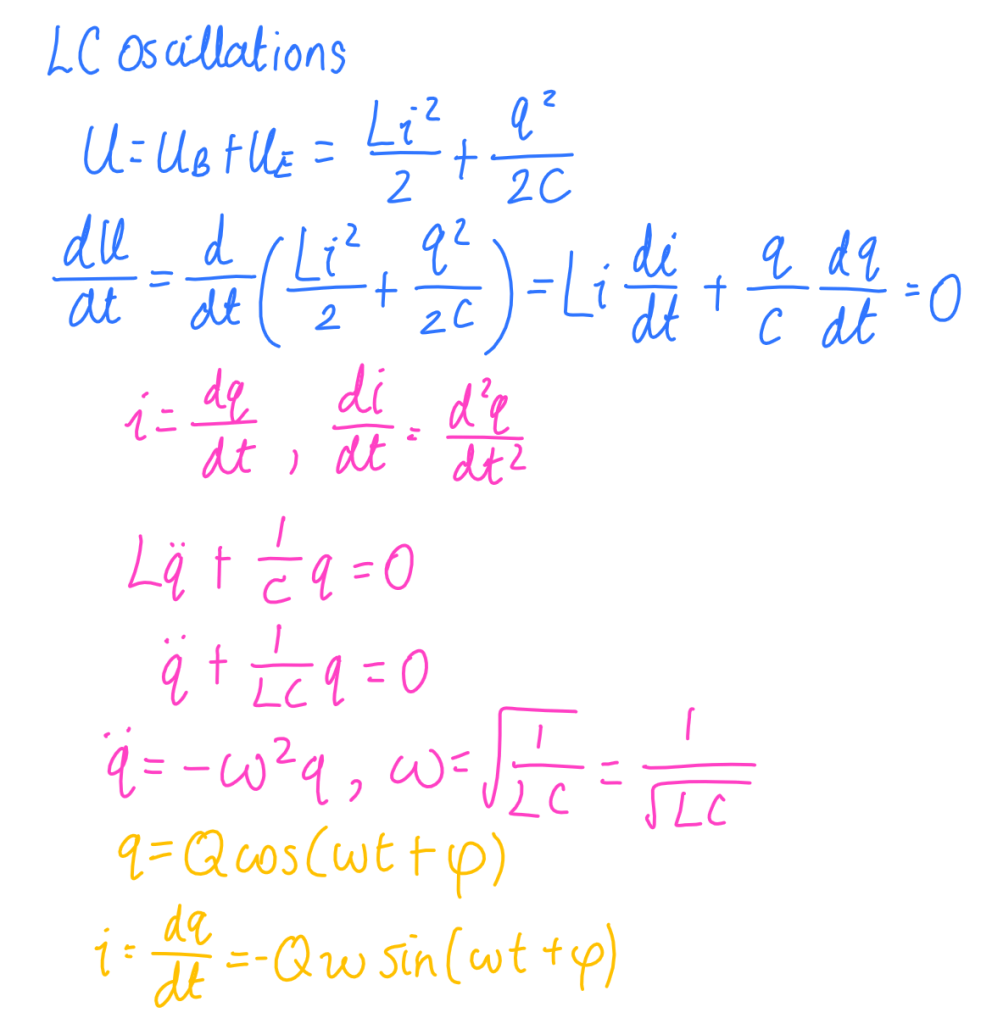
We study the oscillations in a circuit with capacitance C, and inductance, L.


LC oscillations, analogous to SHM

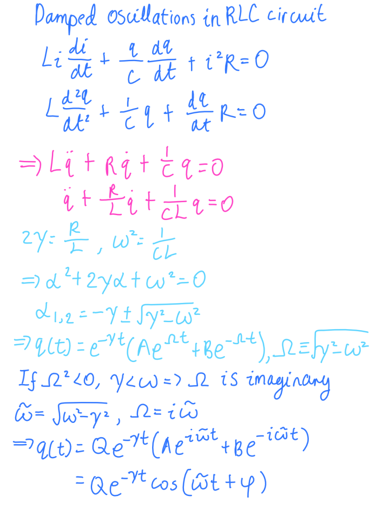
Damped oscillations in RLC circuit, analogous to damped oscillations (in mechanics)

Driven (and damped) oscillations in RLC circuit











Average power in ac circuits


Transformers


