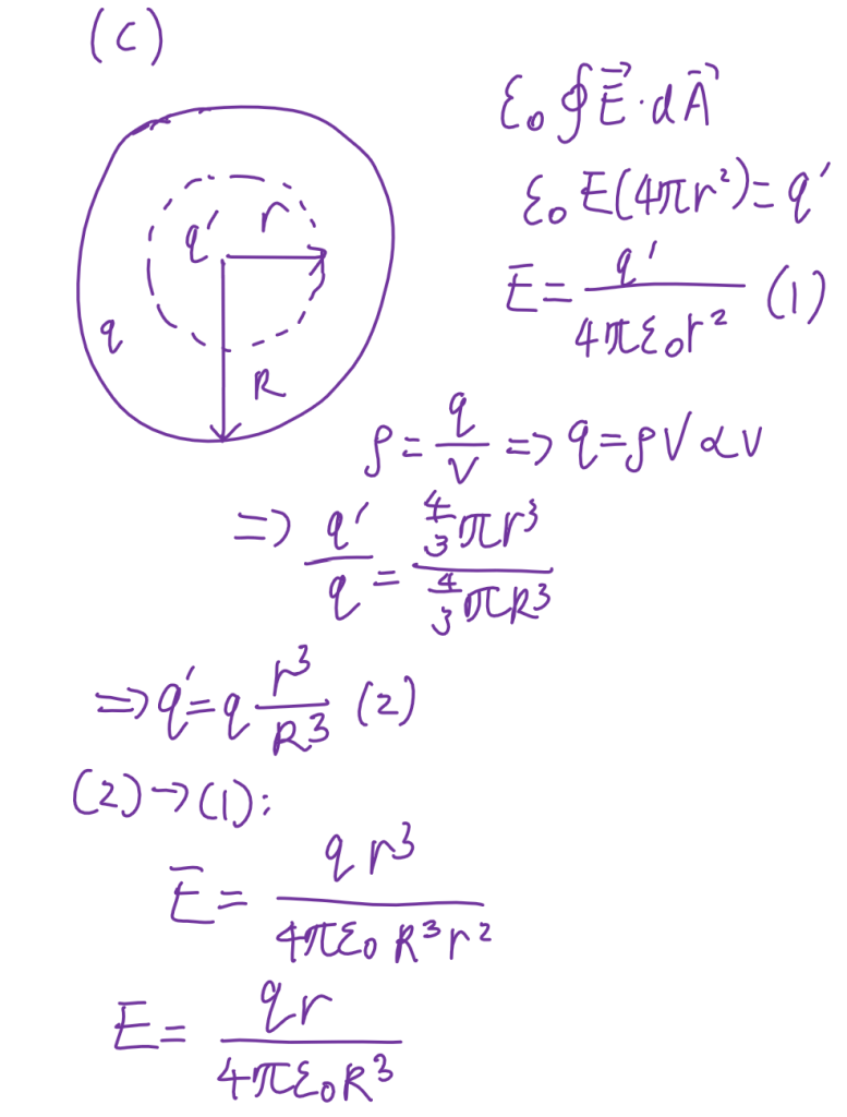
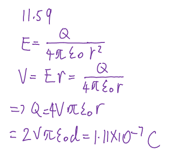
Posted on August 22, 2020August 22, 2020 Gauss’ Law Formulae you have to learn: Try these questions below under timed condition to test your understanding: My solutions are as follows: Share this: Share on X (Opens in new window) X Share on Facebook (Opens in new window) Facebook Like Loading...